News

Safeguarding the Future: Advanced DMD Genetic Screening for Early Diagnosis and Intervention to Combat Muscular Dystrophy

View: 1226 / Time: 2025-04-01

01 DMD Gene Mutations and Disease Mechanisms


The DMD gene, located on the X chromosome (Xp21.2), is one of the largest genes in the human genome, spanning over 2.2 Mb and accounting for approximately 0.1% of the human genome or 1.5% of the X chromosome[1]. 99% of its sequence consists of intronic regions, while its 79 exons comprise only about 1%. Owing to its super-long sequence and complex exon structure, the mutation rate of the DMD gene is considerably higher than that of other genes associated with single-gene disorders.


The DMD gene encodes dystrophin, a protein that plays a crucial role in maintaining the stability of the muscle cell membrane. Complete or partial loss of function of this gene can lead to severe genetic disorders such as Duchenne muscular dystrophy (DMD) and Becker muscular dystrophy (BMD)[2-3]. As an X-linked recessive neuromuscular disease, the incidence of DMD and BMD among surviving male infants is 19.8/100,000 and 5.4/100,000, respectively[4-5]. Although most female carriers exhibit a normal phenotype, a subset of women carrying pathogenic variants in the DMD gene may show varying degrees of skeletal muscle and/or cardiac involvement.


02 Clinical Testing Strategies and Consensus


The "Expert consensus on the genetic counseling for Dystrophinopathies," published in 2024, indicates that large-scale cohort studies in China have shown that exon deletion variants in the DMD gene account for 71.85%, duplications approximately 8.76%, and other minor sequence variants about 19.39%[6]. Traditional stepwise testing strategies generally require a combination of multiplex ligation-dependent probe amplification (MLPA) for exon deletion/duplication detection and Sanger sequencing for point mutation analysis, which results in a complex workflow and a time-consuming testing. In contrast, high-throughput detection based on next-generation sequencing (NGS) can simultaneously cover all types of variants and offers higher detection efficiency, making it especially suitable for cases with limited gestational age or atypical clinical phenotypes.


03 Introduction


The DMD Research Panel v1.0, independently developed by Nanodigmbio, achieves a comprehensive solution for DMD variant analysis by covering the entire 2.2 Mb region of the DMD gene:

Comprehensive Enrichment: Simultaneously detects variants in both coding and non-coding regions, thoroughly elucidating potential pathogenic mutations.
Precise Analysis: Provides more accurate copy number determination and directly captures breakpoint location information.
Platform Compatibility: Supports both short- and long-read capture sequencing workflows to accommodate the analysis needs of variants with varying complexity.


04 Performance


4.1 Basic Quality Control Performance on Dual Platforms


Tests have demonstrated that the DMD Research Panel v1.0 is flexibly compatible with both NovaSeq and DNBSEQ sequencers. The basic quality control metrics—including mappability, on-target rate, target region coverage, and GC bias—are excellent and consistent with expected outcomes.


Fig1

Figure 1. Basic quality control performance of the DMD Research Panel v1.0. A. Mappability, On-target rate, and Target covered; B. GC bias. Pre-library preparation was performed using the NadPrep EZ DNA Library Preparation Kit with the NadPrep Universal Stubby Adapter (UDI) Module, followed by hybrid capture using the DMD Research Panel v1.0 and NadPrep Hybrid Capture Reagents. Sequencing was performed on NovaSeq 6000 (PE150) and DNBSEQ-T7 (PE150).

Note: Samples were human genomic DNA standard (Promega, G1471).



4.2 Reference Standards Performance


4.2.1 Capture Performance


Reference standard testing was conducted using the NadPrep EZ DNA Library Preparation Kit coupled with the NadPrep Universal Stubby Adapter (UDI) Module for pre-library preparation, followed by hybrid capture with the DMD Research Panel v1.0 and NadPrep Hybrid Capture Reagents. Test results show that all basic quality control indicators—including mappability and on-target rate (Figure 2.A), target region coverage (Figure 2.B), average sequencing depth (Figure 2.C), and GC bias (Figure 2.D)—performed excellently.


Due to differences in X chromosome copy number, female samples (HMF302 and HMF602) displayed slightly higher on-target rates and average sequencing depths compared to male samples, although the data fluctuations remained within normal thresholds. The target region coverage for male sample (HMF303) was slightly lower than that of other samples, consistent with the MLPA analysis results provided by the reference standard. In addition, the capture sequencing of six reference standards yielded raw data of 0.78, 1.5, 0.75, 0.9, 1.4, and 0.79 Gb, respectively. These data differences highly correlate with the gender of the samples, and the average sequencing depth achieved the desired level (Figure 2.C).


Fig 2

Figure 2. Capture performance of the DMD Research Panel v1.0 on reference standards. A. Mappability & On-target rate; B. Target covered; C. Average sequencing depth (without deduplication); D. GC bias. Sequencing was performed on NovaSeq 6000 (PE150).

Note: Samples are derived from DMD gDNA Reference Standards (GeneWell). HMF301-3 correspond to GW-HMF301-3, and HMF601-3 correspond to GW-HMF601-3; within the two families, the gender of standards 1-3 are Male, Female, and Male, respectively; Genotypes of HMF301-3 Reference Standards by MLPA are Normal, Exon48-Exon50 heterozygous deletion and Exon48-Exon50 deletion/hemizygote, while genotypes for HMF601-3 Reference Standards by MLPA are Normal, Exon18-Exon25 haplox repeat, and Exon18-Exon25 repeat.


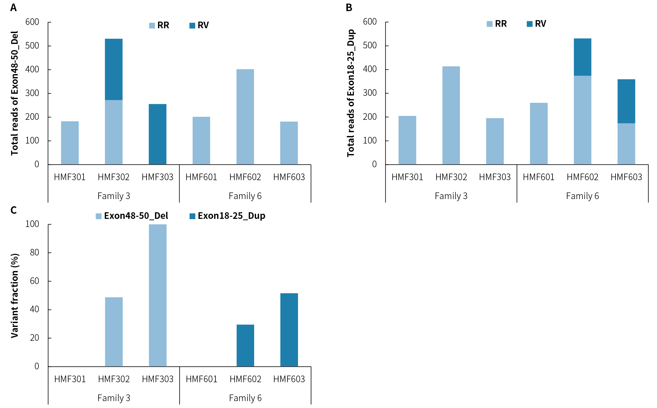
4.2.2 Precise Detection of CNV Breakpoints


Using BWA, the targeted capture sequencing data from the six reference standards were aligned to the hg38 reference genome, and variant analysis was performed using Delly to count the supporting reads. The analysis revealed that the variant fraction (Figure 3.C) in each sample was consistent with the reference results for MLPA.


In the reads statistics for the Exon 48-50 region (Figure 3.A), the total number of reads in each sample corresponded with the sample's gender. Specifically, the detection of variant junction reads (RV) for HMF302 and HMF303 was in agreement with the reference results, while no variant reads were detected in the remaining samples, which were categorized as reference junction reads (RR). Moreover, in the reads statistics for the Exon 18-25 region (Figure 3.B), the ratio of variant to RR was also consistent with the reference results, further confirming the reliability of the sequencing analysis.


Fig 3

Figure 3. Detection of CNV breakpoints in reference standards using the DMD Research Panel v1.0. A. Analysis of Exon48-50 deletion (Del) reads; B. Analysis of Exon18-25 duplication (Dup) reads; C. Variant fraction.

Note: RR: reference junction reads; RV: variant junction reads; Exon48-50_Del: deletion of Exon 48-Exon 50; Exon18-25_Dup: duplication of Exon 18-Exon 25.



4.2.3 DMD Genomic Coverage


Target captured libraries from three reference standards (GW-HMF301-3) were sequenced using both short-read and long-read sequencing. As shown in Figure 4., the IGV visualization clearly demonstrates that the deletion segments in GW-HMF302 and GW-HMF303 were effectively detected and consistent with the reference results. Moreover, although short-read sequencing exhibited gaps in certain regions, long-read sequencing provided effective coverage, further enhancing the integrity and accuracy of detection.


Fig 4


Figure 4. Genomic coverage of DMD gDNA Reference Standards after targeted capture with the DMD Research Panel v1.0, as assessed by short-read (NovaSeq 6000, PE150) and long-read (Oxford Nanopore) sequencing.


05 Applications and Prospects


The DMD Research Panel v1.0 is based on NGS-targeted sequencing technology. With advantages such as high throughput, high sensitivity, and controlled cost, it can efficiently screen for deletions/duplications and point mutations in the 79 exons of the DMD gene, providing robust support for clinical precision diagnosis. This technology is applicable to newborn screening, diagnosis of suspected patients, and carrier detection, facilitating early intervention and personalized treatment decision-making. In combination with genetic counseling, it helps families optimize reproductive planning and provides essential data support for pharmaceutical companies in the development of targeted therapies, thereby promoting a closed-loop ecosystem for the diagnosis and treatment of DMD-related disorders.


Reference

[1] Muntoni F, Torelli S, Ferlini A. Dystrophin and mutations: one gene, several proteins, multiple phenotypes[J]. The Lancet Neurology, 2003, 2(12): 731-740.

[2] Tuffery-Giraud S, Miro J, Koenig M, et al. Normal and altered pre-mRNA processing in the DMD gene[J]. Human genetics, 2017, 136: 1155-1172.

[3] Kunkel L M, co-authors. Analysis of deletions in DNA from patients with Becker and Duchenne muscular dystrophy[J]. Nature, 1986, 322(6074): 73-77.

[4] Crisafulli S, Sultana J, Fontana A, et al. Global epidemiology of Duchenne muscular dystrophy: an updated systematic review and meta-analysis[J]. Orphanet journal of rare diseases, 2020, 15: 1-20.

[5] Bushby K M D, Thambyayah M, Gardner-Medwin D. Prevalence and incidence of Becker muscular dystrophy[J]. The Lancet, 1991, 337(8748): 1022-1024.

[6] Genetic Counseling Consensus Expert Group for Monogenic Disease Carrier Screening, Genetic Counseling Group, Medical Genetics Branch, Chinese Medical Association, Medical Genetics Branch, Chinese Medical Doctor Association, et al. Expert consensus on the genetic counseling for Dystrophinopathies[J]. Chinese Journal of Medical Genetics, 2024, 41(06): 651-660.